Developing brain networks for working memory in the classroom
Executive summary
- Brain networks for working memory develop, and become more specialized, throughout childhood and into adolescence.
- Children with working memory difficulties may struggle to keep in mind information while working with it.
- Working memory is key to learning, both for processing information in the moment, and for enabling students to prepare information for their long-term memory.
- Including information about working memory in teacher training will give teachers a knowledge-base for classroom strategies that reduce working memory demands for learning.
Introduction
Have you ever had a student who can accomplish the first step of your instructions, but never seems to complete all the steps, while other children in the same class can? Or a student who can’t easily recall the first part of the story when reading and has to return to the start multiple times?
The ability to hold information in mind while working with it (beyond holding it in mind ‘as is’) is known as ‘working memory’. It is a kind of memory that is involved in many everyday situations, for example doing sums in your head. The brain networks for working memory develop all through childhood and well into adolescence. Many struggling learners, with or without a particular diagnosis, present working memory difficulties1,2,3. The variation in children’s working memory can be an important clue for teachers who want to use inclusive practices in the classroom so all children can participate equally4.
Developing specialised brain networks for working memory
Both neuroscience and behavioral research suggest that working memory is essentially indistinguishable from the wider set of executive functions in infancy and early childhood5. In the first years of life, several areas of the brain are associated with working memory (prefrontal cortex, occipital cortex and parietal cortex6, 7). This broad brain network also supports other executive functions8.
Brain networks for working memory continue to develop throughout the school years. Brain activity associated with the wider set of executive functions, and working memory, appears to become more localized in frontal and parietal networks over the course of childhood9, 10 and into adolescence11, 12, 13. Thickness of brain tissue in middle childhood to early adulthood reflects working memory performance at a behavioral level14.
Even though they become specialized, the brain regions supporting working memory remain connected to one another and mutually influence one another15. Hence, it is best to think of working memory as based on a brain network, rather than a specific area of the brain. For example researchers found that with more experience using a particular type of working memory, front regions of the brain became more closely connected to regions towards the back of the brain that were specific to the content of the task16.
Working memory is limited
As working memory becomes more specialized throughout childhood, it can be described as a system with multiple parts17, including a verbal part (verbal working memory), a visual sketchpad (visuospatial working memory), and a coordinating central piece (the central executive). The verbal and visual parts work mostly independently, and each has a limited capacity at any given time. For example, try to say the abc’s in your head while reading this paragraph. It will slow you down! If one ‘soundtrack’ is already playing in your head (occupying your verbal working memory), another one cannot be played at the same time. The same limits apply to visual working memory. If you are trying to keep track of where a shape might fit if you turned it at an angle while doing a puzzle, then you cannot at the same time picture in your head what a different shape would look like turned at a different angle.
Another way in which working memory capacity is limited is in time: if information is not rehearsed constantly, it will be lost within a short time (seconds, not minutes)18.
Individual differences in working memory during childhood
Although working memory capacity doubles or triples throughout childhood, as working memory brain networks become more specialized and efficient, individual children vary greatly in how efficiently they use their working memory19.

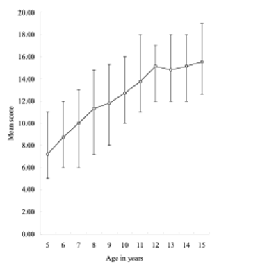
Figure 1 Mean scores in verbal working memory across childhood (figure courtesy of Susan Gathercole, adapted from Alloway & Gathercole, 2008)
As shown in Figure 1, children in a class of eight-year-olds could have working memory similar to an average five-year-old or an average 12-year-old. For example, some children struggle to collect their belongings and put them away in the right place, if their friends are also talking to them. For other children of the same age and in the same class, juggling multiple thoughts at the same time seems easier. These children will swiftly put their belongings away, and be prepared to move on to the next activity. When a learner’s working memory is overwhelmed, it may look like they are not interested in doing a task or they may get labelled as ‘inattentive’20. However, such behavior may not be because ‘they were not listening’, or because they do not understand. It may simply be because the demands of the task were beyond their current working memory capacity.
A key to understanding how different children use their working memory may come from the ways different brain networks are used to complete the very same tasks by different children21. That is to say, children of similar ages may be using working memory brain networks in different ways to complete the same activities.
Working memory is associated with learning and achievement
Many studies, including small and large-scale datasets, show an association between school-age children’s working memory and academic outcomes like math and literacy22, 23, 24, 25. Many academic activities require some kind of visual or verbal working memory. For example, working memory is needed to keep in mind different parts of a story while reading, to build up an overall understanding. Children with working memory difficulties might struggle to read, not because they don’t understand the words, but because they cannot manage so much information at once in their heads. Children with larger working memory capacity can manage more information in their minds. For example some children might find it easy to keep in mind the steps in the mathematical procedure for subtraction while they apply it.
Working memory is also involved in learning and retaining new information for longer periods. This is the case for instance when holding unfamiliar sequences of sounds fresh in mind, which can lead to learning new words, and in turn, a larger vocabulary 26.
Conclusion
Some teachers are aware of the limits that developing brain networks for working memory can pose on children’s classroom behaviors and outcomes27, but knowledge is uneven.
Understanding neural and behavioral aspects of working memory development makes it possible for teachers to develop inclusive practices that reduce working memory demands in the classroom. For example, teachers can provide memory aids that make instructions visible; teachers can repeat or model information, and they can encourage students to use strategies like memorizing shortcuts, which frees up space in working memory28. Establishing classroom routines and familiar practices also means that children’s limited working memory can be dedicated to their learning rather than being preoccupied trying to adapt to unpredictable circumstances.
Knowing different children may use their working memory brain networks in different ways for different activities21, 29, it is important to develop a broad evidence base on working memory throughout childhood. It is worth noting that much of the neuroscience has focused on visuospatial working memory30. In a classroom setting, instruction is often oral, which poses large demands on verbal working memory. Neuroscientists would benefit from working more with teachers to understand the aspects of working memory that matter most to classroom practice, allowing those priorities to feed into research programme development31,32.
References
- Holmes, J., Hilton, K.A., Place, M., Alloway, T.P., Elliott, J.G., & Gathercole, S.E. (2014). Children with low working memory and children with ADHD: Same or different? Frontiers in Human Neuroscience, 8, 976. https://doi.org/10.3389/fnhum.2014.00976
- Smith-Spark, J.H., & Fisk, J.E. (2007). Working memory functioning in developmental dyslexia. Memory, 15, 34–56. 10.1080/09658210601043384
- Astle, D. E., Bathelt, J., CALM team, & Holmes, J. (2019). Remapping the cognitive and neural profiles of children who struggle at school. Developmental Science, 22(1), e12747. https://doi.org/10.1111/desc.12747
- UNESCO (2017). A Guide for ensuring inclusion and equity in education. https://unesdoc.unesco.org/ark:/48223/pf0000248254
- Huizinga, M., Dolan, C. V., & Van der Molen, M. W. (2006). Age-related change in executive function: Developmental trends and a latent variable analysis. Neuropsychologia, 44(11), 2017-2036. https://doi.org/10.1016/j.neuropsychologia.2006.01.010
- Fiske, A., & Holmboe, K. (2019). Neural substrates of early executive function development. Developmental Review, 52, 42-62. https://doi.org/10.1016/j.dr.2019.100866
- Wilcox, T., & Biondi, M. (2016). Functional activation in the ventral object processing pathway during the first year. Frontiers in Systems Neuroscience, 9, 180. https://doi.org/10.3389/fnsys.2015.00180
- Gazzaley, A., & D’Esposito, M. (2007). Unifying prefrontal cortex function: Executive control, neural networks, and top-down modulation. In B. L. Miller, & J. L. Cummings (Eds.). The human frontal lobes: Functions and disorders (pp. 187–206). (2nd ed.). New York: The Guilford Press.
- Tsujii, T., Yamamoto, E., Masuda, S., & Watanabe, S. (2009). Longitudinal study of spatial working memory development in young children. Neuroreport, 20(8), 759–763. https://doi.org/10.1097/WNR.0b013e32832aa975
- Cuevas, K., Bell, M. A., Marcovitch, S., & Calkins, S. D. (2012). Electroencephalogram and heart rate measures of working memory at 5 and 10 months of age. Developmental Psychology, 48(4), 907–917. https://doi.org/10.1037/a0026448
- McKenna, R., Rushe, T., & Woodcock, K. A. (2017). Informing the structure of executive function in children: a meta-analysis of functional neuroimaging data. Frontiers in human neuroscience, 11, 154. https://doi.org/10.3389/fnhum.2017.00154
- Durston, S., & Casey, B. J. (2006). What have we learned about cognitive development from neuroimaging? Neuropsychologia, 44(11), 2149–2157. https://doi.org/10.1016/j.neuropsychologia.2005.10.010
- Klingberg, T., Forssberg, H., & Westerberg, H. (2002). Increased brain activity in frontal and parietal cortex underlies the development of visuospatial working memory capacity during childhood. Journal of cognitive neuroscience, 14(1), 1-10. https://doi.org/10.1162/089892902317205276
- Tamnes, C. K., Walhovd, K. B., Grydeland, H., Holland, D., Østby, Y., Dale, A. M., & Fjell, A. M. (2013). Longitudinal working memory development is related to structural maturation of frontal and parietal cortices. Journal of Cognitive Neuroscience, 25(10), 1611–1623. https://doi.org/10.1162/jocn_a_00434
- 15 Johnson, M. H. (2011). Interactive specialization: a domain-general framework for human functional brain development?. Developmental cognitive neuroscience, 1(1), 7-21. https://doi.org/10.1016/j.dcn.2010.07.003
- 16 Barnes, J. J., Nobre, A. C., Woolrich, M. W., Baker, K., & Astle, D. E. (2016). Training working memory in childhood enhances coupling between frontoparietal control network and task-related regions. Journal of Neuroscience, 36(34), 9001-9011. https://doi.org/10.1523/JNEUROSCI.0101-16.2016
- Baddeley, A. (2000). The episodic buffer: a new component of working memory? Trends in cognitive sciences, 4(11), 417-423. https://doi.org/10.1016/S1364-6613(00)01538-2
- Baddeley, A. (2012). Working memory: Theories, models, and controversies. Annual review of psychology, 63, 1-29. https://doi.org/10.1146/annurev-psych-120710-100422
- Gathercole, S., & Alloway, T. P. (2008). Working memory and learning: A practical guide for teachers. Sage.
- Bathelt, J., Gathercole, S. E., Johnson, A., & Astle, D. E. (2018). Differences in brain morphology and working memory capacity across childhood. Developmental Science, 21(3), e12579. https://doi.org/10.1111/desc.12579
- Best, J. R., Miller, P. H., & Naglieri, J. A. (2011). Relations between executive function and academic achievement from ages 5 to 17 in a large, representative national sample. Learning and individual differences, 21(4), 327-336. https://doi.org/10.1016/j.lindif.2011.01.007
- Bull, R., Espy, K. A., & Wiebe, S. A. (2008). Short-term memory, working memory, and executive functioning in preschoolers: Longitudinal predictors of mathematical achievement at age 7 years. Developmental neuropsychology, 33(3), 205-228. https://doi.org/10.1080/87565640801982312
- Friso-Van den Bos, I., Van der Ven, S. H., Kroesbergen, E. H., & Van Luit, J. E. (2013). Working memory and mathematics in primary school children: A meta-analysis. Educational research review, 10, 29-44. https://doi.org/10.1016/j.edurev.2013.05.003
- Ahmed, S. F., Tang, S., Waters, N. E., & Davis-Kean, P. (2019). Executive function and academic achievement: Longitudinal relations from early childhood to adolescence. Journal of Educational Psychology, 111(3), 446. https://doi.org/10.1037/edu0000296
- Baddeley, A., Gathercole, S., & Papagno, C. (1998). The phonological loop as a language learning device. Psychological review, 105(1), 158.
- Atkinson, A. L., Allen, R. J., & Waterman, A. H. (2021). Exploring the understanding and experience of working memory in teaching professionals: a large-sample questionnaire study. Teaching and Teacher Education, 103, 103343. https://doi.org/10.1016/j.tate.2021.103343
- Waterman, A., & Miller, M. (2022). Working memory: A Practical guide for teachers. Centre for Applied Educational Research and Bradford Research School. https://caer.org.uk/downloads/
- Holland, L., & Low, J. (2010). Do children with autism use inner speech and visuospatial resources for the service of executive control? Evidence from suppression in dual tasks. British journal of developmental psychology, 28(2), 369-391.
- Constantinidis, C., & Klingberg, T. (2016). The neuroscience of working memory capacity and training. Nature Reviews Neuroscience, 17(7), 438-449.
- Varma, S., McCandliss, B. D., & Schwartz, D. L. (2008). Scientific and pragmatic challenges for bridging education and neuroscience. Educational researcher, 37(3), 140-152. https://doi.org/10.3102/0013189X08317687
- Ellefson, M. R., Baker, S. T., & Gibson, J. L. (2019). Lessons for successful cognitive developmental science in educational settings: The case of executive functions. Journal of Cognition and Development, 20(2), 253-277. https://doi.org/10.1080/15248372.2018.1551219